p>Navigating the world of chemistry, particularly acid-base chemistry, can feel like traversing a complex maze. One common hurdle students face is understanding and calculating pH and pOH. These seemingly simple concepts are fundamental to grasping how acidic or basic a solution truly is. To solidify this understanding, teachers often assign pH and pOH worksheets. But what happens when you’re stuck on a problem or need to check your work? That’s where access to reliable answer keys becomes invaluable. This post aims to provide a resource for those seeking help with their pH and pOH worksheet answers. We’ll discuss the importance of understanding the underlying concepts and then provide a list of common problem types and their corresponding solutions. Remember, the goal isn’t just to copy answers, but to learn the principles that make those answers correct.
Understanding pH and pOH: The Foundation
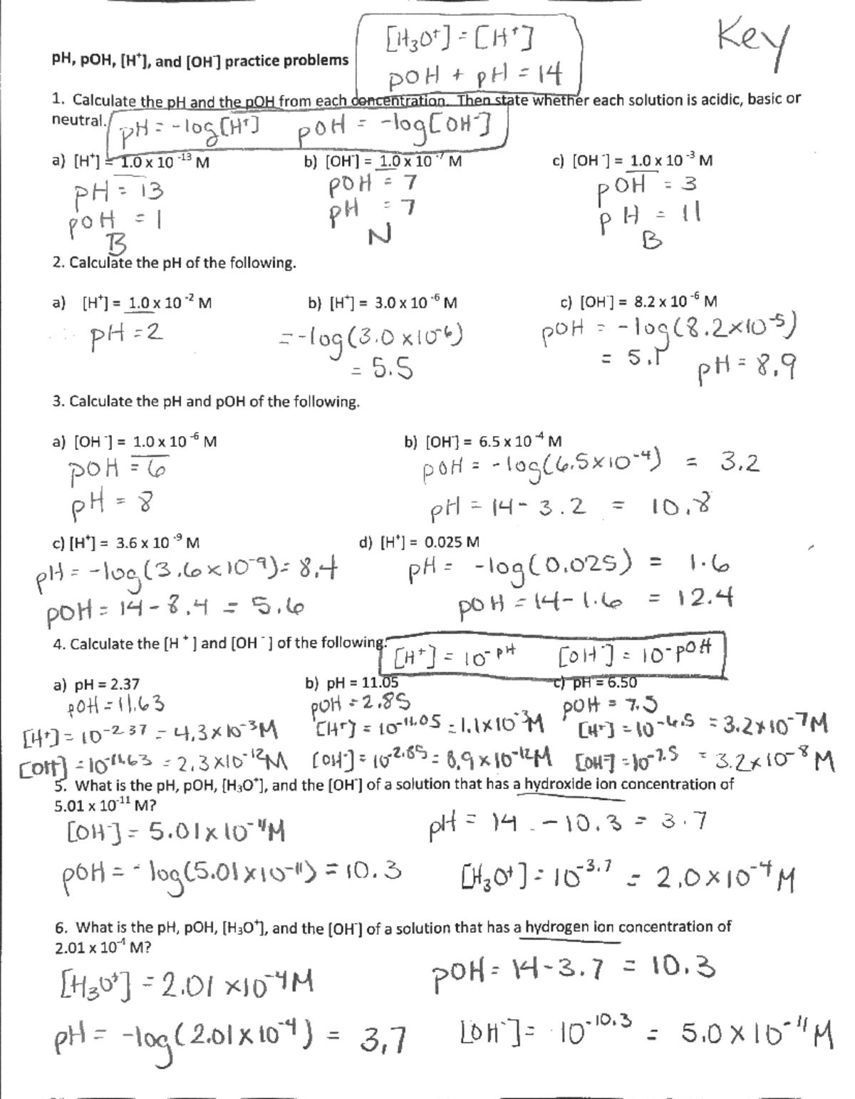
Before diving into specific answers, let’s briefly review the definitions and relationships between pH and pOH. pH is a measure of the hydrogen ion (H+) concentration in a solution, indicating its acidity. A pH of 7 is neutral, values below 7 are acidic, and values above 7 are basic. pOH, on the other hand, measures the hydroxide ion (OH-) concentration and indicates its alkalinity. The relationship between pH and pOH is defined by the following equation:
pH + pOH = 14
This equation is crucial because it allows you to calculate either pH or pOH if you know the other. Furthermore, understanding the logarithmic nature of pH and pOH is essential. A change of one pH unit represents a tenfold change in hydrogen ion concentration. This is why even seemingly small differences in pH values can indicate significant differences in acidity.
Key Formulas to Remember:
- pH = -log[H+]
- pOH = -log[OH-]
- [H+] = 10-pH
- [OH-] = 10-pOH
- Kw = [H+][OH-] = 1.0 x 10-14
These formulas are your tools for tackling pH and pOH problems. Let’s say you know the concentration of hydrogen ions [H+] in a solution. To find the pH, you simply take the negative logarithm of that concentration. Conversely, if you know the pH, you can find the hydrogen ion concentration by taking 10 raised to the power of the negative pH. Mastering these calculations will greatly improve your ability to solve worksheet problems.
Common pH and pOH Worksheet Problems and Answers
Now, let’s delve into some common types of pH and pOH worksheet problems and their solutions. Remember, these examples are intended to guide you, not to replace understanding. Work through each problem and ensure you comprehend the process.
**Disclaimer:** It’s important to note that answers to specific worksheets will vary. These are example solutions to common problem *types*. Always double-check your work and consult with your teacher if you have questions.
Here are some example solutions to pH and pOH related problems.
- Problem 1: Calculate the pH of a solution with [H+] = 1.0 x 10-3 M.
- Answer:
- pH = -log[H+]
- pH = -log(1.0 x 10-3)
- pH = 3
- Problem 2: Calculate the pOH of a solution with [OH-] = 1.0 x 10-5 M.
- Answer:
- pOH = -log[OH-]
- pOH = -log(1.0 x 10-5)
- pOH = 5
- Problem 3: A solution has a pH of 4. Calculate the pOH.
- Answer:
- pH + pOH = 14
- 4 + pOH = 14
- pOH = 14 – 4
- pOH = 10
- Problem 4: A solution has a pOH of 9. Calculate the pH.
- Answer:
- pH + pOH = 14
- pH + 9 = 14
- pH = 14 – 9
- pH = 5
- Problem 5: Calculate the [H+] of a solution with a pH of 2.
- Answer:
- [H+] = 10-pH
- [H+] = 10-2
- [H+] = 0.01 M or 1.0 x 10-2 M
- Problem 6: Calculate the [OH-] of a solution with a pOH of 6.
- Answer:
- [OH-] = 10-pOH
- [OH-] = 10-6
- [OH-] = 0.000001 M or 1.0 x 10-6 M
- Problem 7: Calculate the [H+] of a solution with a pOH of 11.
- Answer:
- First calculate pH: pH + pOH = 14 => pH = 14 – 11 = 3
- [H+] = 10-pH
- [H+] = 10-3
- [H+] = 0.001 M or 1.0 x 10-3 M
- Problem 8: Calculate the [OH-] of a solution with a pH of 4.
- Answer:
- First calculate pOH: pH + pOH = 14 => pOH = 14 – 4 = 10
- [OH-] = 10-pOH
- [OH-] = 10-10
- [OH-] = 1.0 x 10-10 M
Remember that these are only examples and the types of problems on your worksheet may vary. Ensure you understand the underlying concepts and formulas to confidently tackle any pH and pOH problem you encounter.
By understanding the underlying principles of pH and pOH, and by practicing with these examples, you will become more proficient at solving acid-base chemistry problems. Good luck!
If you are searching about pH and pOh Worksheets you’ve visit to the right place. We have 20 Pictures about pH and pOh Worksheets like pH and pOH Worksheet Name – Worksheets Library, SOLUTION: Ph poh ws key – Studypool – Worksheets Library and also Digraphs Gh And Ph Worksheet Phonics Digraph Spelling Worksheets – Eroppa. Read more:
PH And POh Worksheets

eduinput.com
Digraphs Gh And Ph Worksheet Phonics Digraph Spelling Worksheets – Eroppa

eroppa.com
Ph And Poh Worksheet – Pro Worksheet

www.proworksheet.my.id
Ph And Poh Worksheet

materialmediatheatre.z14.web.core.windows.net
PH And POH Practice Worksheet – Worksheets Library

worksheets.clipart-library.com
Ph And Poh Worksheet – E-streetlight.com

www.e-streetlight.com
A Reference (ph Poh And Concentration Practice) – Biology – Studocu
![]()
www.studocu.com
Ph And Poh Worksheet Answers – Owhentheyanks.com

www.owhentheyanks.com
SOLUTION: Chemistry Ph And Poh Calculations Study Guide – Studypool

worksheets.clipart-library.com
14 Ph Phonics Worksheets – Free PDF At Worksheeto.com

www.worksheeto.com
Acids And Bases Ph Calculations Worksheet

lessonschoolutsinniged70.z21.web.core.windows.net
PH And POH Worksheet Name – Worksheets Library

worksheets.clipart-library.com
Ph And Poh Worksheet Answers – Owhentheyanks.com
![]()
www.owhentheyanks.com
07c P H Problems Worksheet – Chemistry: PH And POH Calculations Part 1
![]()
www.studocu.com
Calculations With PH Of Strong Acids And Bases: A Chemistry

worksheets.clipart-library.com
Ph Worksheet Answer Key – E-streetlight.com

www.e-streetlight.com
PH Words Read, Check And Write Consonant Digraphs Phonics Beginning

www.ezpzphonics.com
34+ Ph And Poh Calculations Worksheet – PeterGrantas
![]()
petergrantas.blogspot.com
SOLUTION: Ph Poh Ws Key – Studypool – Worksheets Library

worksheets.clipart-library.com
PH And POh Worksheets

eduinput.com
ph and poh worksheet name. ph and poh worksheets. Ph and poh worksheet name