Projectile motion, the graceful arc a ball follows when thrown or the trajectory of a rocket, is a cornerstone concept in introductory physics. Understanding projectile motion involves dissecting motion into horizontal and vertical components, analyzing each independently. While this sounds straightforward, mastering the concepts often requires practice, and that’s where a good projectile motion worksheet comes in handy! It provides a structured approach to problem-solving and reinforces understanding of key principles.
This post aims to provide clarity on projectile motion and presents a comprehensive worksheet along with detailed answers to guide your learning. Whether you’re a student struggling to grasp the concepts or a teacher looking for effective resources, this worksheet and answer key will prove invaluable.
The worksheet focuses on scenarios that illustrate the principles of projectile motion. It assumes an idealized environment: neglecting air resistance and assuming constant gravitational acceleration. These assumptions allow us to apply simplified equations and focus on the core physics concepts. Each problem requires you to break down the initial velocity into its horizontal and vertical components, apply the relevant kinematic equations, and then combine the results to answer the specific question posed.
Remember, the key to solving projectile motion problems is to treat the horizontal and vertical motions as independent. The horizontal motion is uniform (constant velocity), while the vertical motion is uniformly accelerated (due to gravity). The only variable that links the two motions is time. By correctly determining the time of flight, you can unlock the solution to many problems. So, let’s dive into the worksheet and its answers!
Projectile Motion Worksheet Problems
Below are some examples of the types of problems you’ll typically encounter in a projectile motion worksheet:
- Calculating the range of a projectile given its initial velocity and launch angle.
- Determining the maximum height reached by a projectile.
- Finding the time of flight for a projectile.
- Calculating the launch angle required to hit a specific target.
- Analyzing projectile motion involving an initial height.
These problems often involve variations in the given information, forcing you to think critically and apply the principles of projectile motion in different contexts. Practice is key to developing fluency in solving these types of problems.
Projectile Motion Worksheet With Answers
Below are the answers to a sample projectile motion worksheet. Note that these answers are based on the standard assumptions of projectile motion (neglecting air resistance and assuming constant gravitational acceleration, g = 9.8 m/s2).
Problem 1: A ball is thrown horizontally from a height of 20 meters with an initial velocity of 15 m/s. What is the range of the ball?
Problem 2: A projectile is launched at an angle of 30 degrees above the horizontal with an initial velocity of 25 m/s. What is the maximum height reached by the projectile?
Problem 3: A cannonball is fired with an initial velocity of 50 m/s at an angle of 45 degrees above the horizontal. How long is the cannonball in the air?
Problem 4: An object is launched from the ground with an initial velocity of 30 m/s. What launch angle will result in the maximum range? What is the maximum range?
Problem 5: A golf ball is struck and leaves the ground with a velocity of 40 m/s at an angle of 37 degrees to the horizontal. How far will the golf ball travel before hitting the ground?
- Answer 1:
<ul> <li>Vertical motion: d = vit + (1/2)at2 -> 20 = 0*t + (1/2)(9.8)t2 -> t = 2.02 s</li> <li>Horizontal motion: d = vt -> d = 15 * 2.02 -> d = 30.3 meters</li> <li>Range: 30.3 meters</li> </ul> - Answer 2:
<ul> <li>Vertical component of initial velocity: viy = 25 * sin(30) = 12.5 m/s</li> <li>At maximum height, vfy = 0 m/s</li> <li>vfy2 = viy2 + 2ad -> 0 = (12.5)2 + 2(-9.8)d -> d = 7.97 meters</li> <li>Maximum height: 7.97 meters</li> </ul> - Answer 3:
<ul> <li>Vertical component of initial velocity: viy = 50 * sin(45) = 35.36 m/s</li> <li>Time to reach maximum height: vfy = viy + at -> 0 = 35.36 - 9.8t -> t = 3.61 s</li> <li>Total time in the air (time of flight): 2 * 3.61 = 7.22 s</li> <li>Time of flight: 7.22 seconds</li> </ul> - Answer 4:
<ul> <li>The launch angle that maximizes range is 45 degrees.</li> <li>vix = viy = 30 * sin(45) = 21.21 m/s</li> <li>Time of flight (from previous solution): 2 * (21.21/9.8) = 4.33 s</li> <li>Range: d = 21.21 * 4.33 = 91.8 meters</li> <li>Maximum range: 91.8 meters</li> </ul> - Answer 5:
<ul> <li>Vertical component of initial velocity: viy = 40 * sin(37) = 24.07 m/s</li> <li>Horizontal component of initial velocity: vix = 40 * cos(37) = 31.95 m/s</li> <li>Time of flight: 2 * (24.07/9.8) = 4.91 s</li> <li>Range: d = 31.95 * 4.91 = 156.8 meters</li> <li>Range of the golf ball: 156.8 meters</li> </ul>
These answers are intended as a guide. It’s crucial to understand the reasoning behind each step rather than simply memorizing the formulas. By working through a variety of projectile motion problems and analyzing the solutions, you’ll develop a strong foundation in this important physics concept.
If you are searching about Projectile Motion Worksheet Answers – Ame.my.id you’ve visit to the right web. We have 20 Pics about Projectile Motion Worksheet Answers – Ame.my.id like Projectile Motion Comparisons – Worksheets Library, Projectile Motion Worksheet Answers – Ame.my.id and also SOLUTION: Projectile motion problems 2.0 – Studypool – Worksheets Library. Here you go:
Projectile Motion Worksheet Answers – Ame.my.id

ame.my.id
SOLUTION: Projectile Motion Worksheet – Studypool

www.studypool.com
SOLUTION: Projectile Motion Worksheet With Solutions – Studypool

www.studypool.com
Projectile Motion Problem Worksheet Answer Key | Exercises Physics

worksheets.clipart-library.com
SOLUTION: Physics Projectile Motion Worksheet 2 – Studypool

www.studypool.com
SOLUTION: Projectile Motion Worksheet – Studypool

www.studypool.com
Projectile Motion Worksheet With Answers – Owhentheyanks.com

www.owhentheyanks.com
Projectile Motion Comparisons – Worksheets Library

worksheets.clipart-library.com
SOLUTION: Projectile Motion Worksheet – Studypool

www.studypool.com
PROJECTILE MOTION WORKSHEET | Schemes And Mind Maps Physics – Docsity

www.docsity.com
SOLUTION: Projectile Motion Worksheet – Studypool

www.studypool.com
Projectile Motion SCIENCE GRADE 9 – Projectile Motion – Worksheet

worksheets.clipart-library.com
Worksheet With Answers Projectile At An Angle – Angleworksheets.com

www.angleworksheets.com
SOLUTION: Projectile Motion Worksheet Solutions – Studypool

www.studypool.com
SOLUTION: Projectile Motion Worksheet Ans Key – Studypool

www.studypool.com
Projectile Motion Worksheet (Case 1) | Study Notes Physics | Docsity

www.docsity.com
SOLUTION: Projectile Motion Problems 2.0 – Studypool – Worksheets Library

worksheets.clipart-library.com
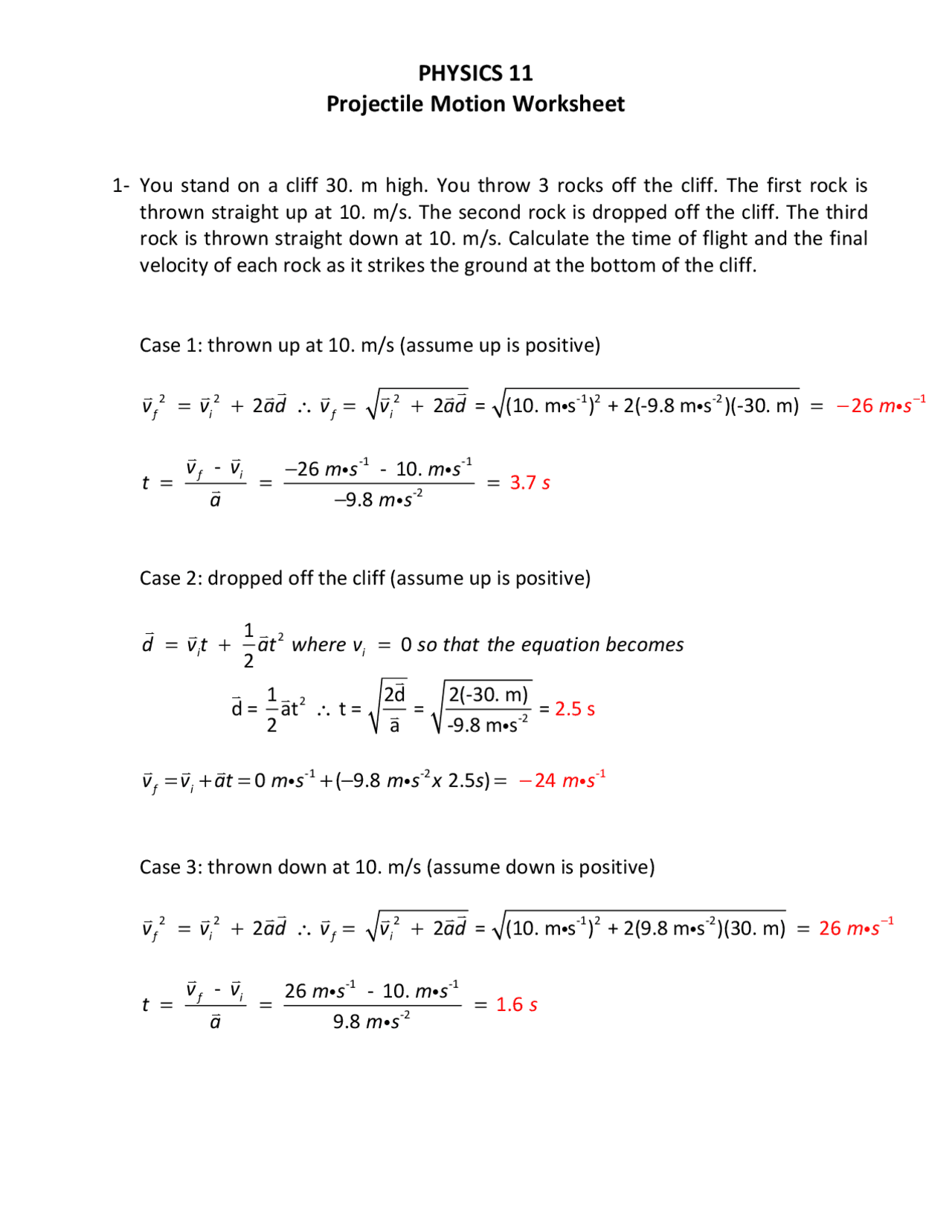
PHYSICS 11 Projectile Motion Worksheet | Schemes And Mind Maps Physics

www.docsity.com
More Projectile Motion Practice Problems And Solutions | PDF

worksheets.clipart-library.com
Projectile Motion Pdf Questions And Answers

worksheetlibvareuses.z14.web.core.windows.net
Solution: projectile motion worksheet with solutions. Solution: projectile motion worksheet. Projectile motion science grade 9